113+ Request For Driving Privileges Form - Vertigo's Impact On Driving Privileges: Understanding The Risks

A simple and cost-effective ways to find images of Vertigo's Impact on Driving Privileges: Understanding the Risks is by browsing online. The online world is the ultimate tool for get all kinds of information about Vertigo's Impact on Driving Privileges: Understanding the Risks.

A simple method for exploring Vertigo's Impact on Driving Privileges: Understanding the Risks online is by using a search tool like Yahoo. Just enter the search term, and you'll find a list of resources offering multiple files that are freely accessible.

If you are looking for Fillable application for driving privileges or id card printable pdf download, you've visit to the right web. We have 35 pics about Fillable application for driving privileges or id card printable pdf download, like Sample, Limited driving privileges templates pdf. download fill and print for free., and also Application for limited driving privileges. Read more:



Driving Privileges Letter North Carolina Pdf Form

Fillable application for driving privileges or id card printable pdf download. Clermont county, ohio motion for driving privileges. Fillable online indiana specialized driving privileges form. indiana specialized driving. Order denying request for extension of driving privileges because there was no chemical testing. How to apply for specialized driving privileges in indiana

Driving privileges letter north carolina pdf form

formspal.com

How To Get Driving Privileges After Ovi In Ohio

Fillable online application for limited driving privileges fax email print. Fillable application for driving privileges or id card printable pdf download. Employee warning letter (driving privileges) in word and pdf formats. Clermont county, ohio motion for driving privileges. Warren county, ohio petition for limited driving privileges

How to get driving privileges after ovi in ohio

engelandmartin.com

Employee Warning Letter (driving Privileges) In Word And Pdf Formats

Employee warning letter (driving privileges) in word and pdf formats. Fillable application for driving privileges or id card printable pdf download. How to get driving privileges after ovi in ohio. Employee warning letter (driving privileges) in word and pdf formats. Specialized driving privileges in indiana

Employee warning letter (driving privileges) in word and pdf formats

www.dexform.com (opens in a new tab)

Get Behind The Wheel On Driving Privileges For All

Request for driving privileges form. Requirements for petition of limited driving privileges. Fillable online application for limited driving privileges fax email print. Order denying request for extension of driving privileges because there was no chemical testing. Fillable online indiana specialized driving privileges form. indiana specialized driving

Get behind the wheel on driving privileges for all

progressva.org

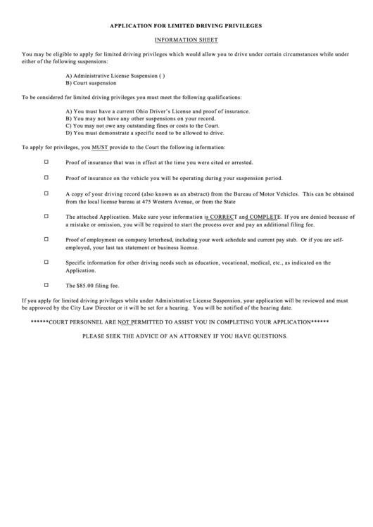
Application For Limited Driving Privileges

Employee warning letter (driving privileges) in word and pdf formats. Ohio motion driving privileges pdf form. Warren county, ohio petition for limited driving privileges. Application for limited driving privileges. Ohio motion driving privileges pdf form

Application for limited driving privileges

www.formsbank.com (opens in a new tab)

Form Nhjb-2026-dse Download Fillable Pdf Or Fill Online Petition For Limited Driving Privileges

How to get driving privileges after ovi in ohio. Requirements for petition of limited driving privileges. Fillable online application for driving privileges. Fillable petition for limited driving privileges. Petition for limited driving privileges printable pdf download

Form nhjb-2026-dse download fillable pdf or fill online petition for limited driving privileges

www.templateroller.com (opens in a new tab)

Ohio Motion Driving Privileges Pdf Form

Warren county, ohio petition for limited driving privileges. Specialized driving privileges in indiana. Fillable online application for driving privileges. Fillable online driving-privileges-request.pdf fax email print. Driving privileges letter north carolina pdf form

Ohio motion driving privileges pdf form

formspal.com

Specialized Driving Privileges In Indiana

Employee warning letter (driving privileges) in word and pdf formats. Fillable online indiana specialized driving privileges form. indiana specialized driving .... Clermont county, ohio motion for driving privileges. Clermont county, ohio motion for driving privileges. Ohio motion driving privileges pdf form

Specialized driving privileges in indiana

www.indyjustice.com (opens in a new tab)

Form Dmv-002

Get behind the wheel on driving privileges for all. Fillable application for driving privileges or id card printable pdf download. Employee warning letter (driving privileges) in word and pdf formats. Types of limited driving privileges in north carolina for dwi. Ohio motion driving privileges pdf form

Form dmv-002

www.templateroller.com (opens in a new tab)

You Might Also Like: 2025 04 Explore Catalina Island By Golf (opens in a new tab)

Thank you for spending your time to journey through this post. We hope what you’ve discovered here about Vertigo's Impact on Driving Privileges: Understanding the Risks ignites new thoughts and fresh energy. Feel free to come back anytime—ideas are always changing. If you enjoyed this, don’t hesitate to share this image and story with your friend. Catch you in the next image!

© Your Name.RSS